麻豆a片

中文 / English

研究进展

研究进展

周少敏教授课题组在Nanotechnology上发表了关于具有超高功率因子和优异热电性能的单根Te/TiS2纳米电缆的研究

来源: 麻豆a片    日期:2016-11-09   浏览次数:

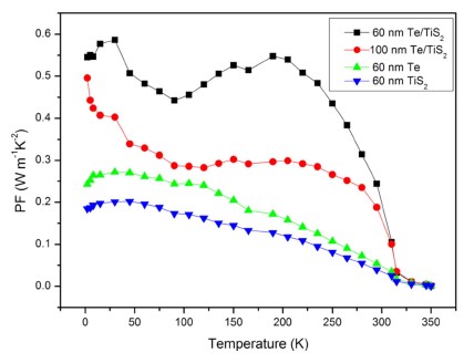
近年来,热电材料由于其独特的优势引起研究者的广泛关注。热电材料是一类可以将热能与电能直接转化的功能材料,它的应用包括温差发电和温差制冷。但受到其热电效率太低限制,并没有得到广泛应用。该研究首先利用溶剂热法制备了Te纳米线,然后以此为模板通过化学气相沉积法合成了Te/TiS2纳米电缆。热电测试表明其功率因子可高达0.58Wm−1 K−2,且热点优值(ZT)在室温下可以达到1.91,远远高于一些传统的热电材料。这一研究成果有望开辟基于单根Te/TiS2纳米电缆在热电器件方面应用的可能性。该研究成果发表在Nanotechnology(2016, 27, 415704)上。

【上一篇】:周少敏教授课题组在Journal of Materials Chemistry C上发表了基于闪锌矿GaN单根同质结LED的白光电致发光特性

【下一篇】:李林松教授课题组在Organic Electronics 上发表了基于发光层掺杂PVK构筑高性能天蓝色量子点发光二极管的科研成果

微信订阅号

地址:中国郑州麻豆a片 龙子湖校区、开封麻豆a片 金明校区

邮编:475004 电话:0371-22687375 E-mail:[email protected]
研招办电话:0371-22687369

版权所有:麻豆a片精品站 - 最新麻豆a片在线观看 @ALL Rights Reserved  技术支持: 蓝创科技